BrainComputerInterface › SocialNetworkAnalysisHandbook/Chapter8 › CAS › ConditionalAccessSystem › SocialNetworkAnalysisHandbook/Chapter1 › Project~AjouWebResearch/Presentation


입학사정센터 웹사이트의 효과적 활용방안을 위한 기초연구: 대학 입학관련부서 웹사이트의 메시지 및 크리에이티브 전략 분석을 중심으로
Public Relations and the Admissions Office Web Sites: Analyzing Message and Creative Strategies in the University Web Sites
1. 요약 ¶
본 연구는 고등학생들이 대학을 선택할 때 사용하는 정보와 정보원(미디어 혹은 소스)에 대해서 알아보고, 각 정보와 정보원과의 관계에 대한 파악을 목적으로 수행하였다. 이를 바탕으로 이 연구는 (1) 입학처 혹은 대학의 정보소스 창구는 어떤 위치에 있는지; (2) 대학이 주는 정보가 다른 정보와 어떻게 차별화되는지 (문제점과 장점 등) 등에 대해서 진단을 내리는 한판 (3) 적절한 정보가 적절한 대상에게 전달될 수 있도록 하기 위한 효과적인 커뮤니케이션 방법에 대해서 고찰해보고자 하였다. 이를 위해서, 고등학생(1학년 80명, 3학년 80명)과 대학 신입생(120명)을 대상으로 설문 조사의 방법을 통하여 (1) 학교이미지, (2) 재정요인, (3) 비전, (4) 입시정보 요인에 대한 중요성과 이와 관련된 정보를 얻는 정보원(미디어)에 대한 신뢰도, 유용성, 편의성에 대한 측정을 하였다. 데이터의 분석 결과, 대학생이 된 신입생과 고등학생 간의 정보에 대한 평가에 차이를 보였다. 신입생의 경우, 올해입시전망, 적성, 명성이 가장 대학입학에 가장 필요한 정보라고 한 반면에 고등학생들은 졸업후 진로, 적성특기를 가장 중요한 정보로 꼽았다. 또한 학생의 나이를 막론하고 대학교 홈페이지에 대한 신뢰성과 유용성에 대한 평가는 우수하게 측정되었으며, 편의성에서는 진학사이트 등이 더 우위를 보였다.
2. 소개 및 연구문제 ¶
주요 목적:

대학 지원시의 정보소비 활동에 대한 조사
내용: - 고등학생들이 대학을 선택할 때 사용하는 정보와 정보원(미디어 혹은 소스)에 대한 파악
- 정보와 정보원과의 관계에 대한 파악
- 정보소비의 시점에 (1, 2, 3 학년 간의) 대한 파악
- 입학처 혹은 대학의 정보소스 창구는 어떤 위치에 있는지
- 대학이 주는 정보가 다른 정보와 어떻게 차별화되는지 (문제점과 장점 등) 등에 대한 파악을 통해서
- 적절한 정보가 적절한 대상에게 전달될 수 있도록 하여 효과적인 커뮤니케이션에 활용코자 함

연구문제 [PNG image (84.5 KB)]
정리하자면,
학생들이 시기별로 특정한 정보를 (이 단계에서는 금전적, 비금전적 요소로 분류) 얻기 위해서 어떤 정보원을 어떻게 활용하는가를 파악하여 커뮤니케이션 전략에 활용하려 함.
2.1.1. 충남인터넷고등학교(특성화고) ¶
| 학생1 | 학생2 | 학생3 | 학생4 | |
| 지원학과 | 컴퓨터관련 | 컴퓨터관련 | 정보통신관련 | 정보통신관련 |
| 지원대학 | (국립대위주) 서울시립대 (사정관전형 지원) 서울산업대 | 숭실대 인하대 아주대 | 숭실대 인하대 건국대 | 숭실대 연세대(원주) 아주대 재수 : 유학준비 |
대학선정과정
- 대학선정 기준정리 -->
- 카페 블로그 -->
- 각 대학 홈페이지 (입학처) -->
- 지인상담 -->
- 각 대학 홈페이지 (입학처, 전공학과) -->
- 대학 확정
대학의사결정시 영향력을 미치는 지인:
- 본인
- 교수 (담임, 진로부장 등)
- 부모님
- 친구
- 기타지인 (친척, 선배 등)
2.1.2. 아주대 입학사정관전형 합격자(아이리스) ¶
| 남학생1 | 남학생2 | 남학생3 | 여학생1 | 여학생2 | 여학생3 | |
| 시기 | 여름방학 | 4월 | 4월 | 수시 직전 | 5~6월 | 1월 |
| 과정 | - 대학의 입학설명회를 통해 알게됨 - 이후 인터넷으로 정보 습득 | - 신문 스크랩을 통해 알게됨 | - 가톨릭대 입학홍보책자를 통해 알게됨 - 홍보책자 인터넷으로 직접 신청 | <width='100px'> | - 아주대 체험캠프 참가로 알게됨 - 체험캠프는 담임교사의 권유로 참가 | - 수시 특별전형을 찾던 중 알게됨 - 외국어전형을 통해 진학한 언니의 영향 |
| 사회과학부 | 전자공학부 | 영어영문학부 | 화공신소재 | 인문학부 | 산업정보시스템공학부 |
3. 데이터 수집과 분석방법 ¶
Report_Apendix_Survey.pdf (748.87 KB)대학 선택 혹은 결정 시 정보 들의 중요성 (2번문항)
- 전년도 입시 결과(점수,경쟁률)
- 올 해 입시 전망(지원가능 점수대,경쟁률)
- 학과 관련 소식,정보
- 명성
- 적성/특기
- 학교위치(서울/지방)
- 국공립/사립
- 평판
- 학교순위,여론조사
- 입학전형
- 교육환경(시설,규모,프로그램,캠퍼스)
- 졸업 후 진로
- 장학금 혜택
- 등록금
- 대학생활
위의 15개 항목 중 택 3
미디어 노출 유무와 정도 (4번 문항)- 신문
- 잡지
- 라디오
- 감성적 TV프로그램(드라마,예능,광고)
- 정보성 TV프로그램(뉴스,시사/교양/다큐,교육방송)
- 포털 커뮤니티(카페,지식인)
- 진학사이트
- 대학교 홈페이지
- 블로그
- 대학입시설명회
- 고고방문설명회
- 학교자료 책자,브로셔
- 입시정보책자
- 가족
- 친구
- 학교선생님
- 학원선생님
- 지인
목표대학이 있을 시 목표대학에 대한 정보 인지 정도 (6번문항)
학교 홈페이지 접속 경로
정보원들에 대한 신뢰도
정보원들에 대한 유용성
정보원들에 대한 편의성
인구통계학적인 정보의 수집
3.1. 참가자 (인구통계학적 분석) ¶
| 성별 | ||||
| male | female | Total | ||
| 학년 | h1 | 38 | 33 | 71 |
| h2 | 37 | 35 | 72 | |
| h3 | 97 | 117 | 214 | |
| Total | 172 | 185 | 357 | |
| 학업능력 | ||||
| Frequency | Valid % | Cumulative % | ||
| Valid | 상 | 20 | 5.6 | 5.6 |
| 중상 | 108 | 30.3 | 35.9 | |
| 중 | 141 | 39.5 | 75.4 | |
| 중하 | 68 | 19 | 94.4 | |
| 하 | 20 | 5.6 | 100 | |
| Total | 357 | 100 | ||
| 부모월수입 | ||||
| Frequency | Percent | Cumulative Percent | ||
| Valid | -150 | 19 | 5.3 | 5.3 |
| 150-250 | 37 | 10.3 | 15.7 | |
| 250-350 | 67 | 18.7 | 34.6 | |
| 350-450 | 55 | 15.4 | 50 | |
| 450-550 | 25 | 7 | 57 | |
| 550-650 | 21 | 5.9 | 62.9 | |
| 650- | 30 | 8.4 | 71.3 | |
| DK | 102 | 28.5 | 100 | |
| Total | 356 | 99.4 | ||
| Total | 358 | 100 | ||
| 단위: 만원 | ||||
4.1. 대학 선택 시 중요한 정보 (2번문항) ¶
위의 문항을 주성분분석 방법으로 군집화하여 보니, 크게 보아 5개의 그룹으로 나타남 (설명된 총변량 64.81%).
| Rotated Component Matrix | ||||||||
| 1 | 2 | 3 | 4 | 5 | 설명된 변량 (%) | |||
| 1 | 학교이미지 | 학교순위,여론조사 | 0.856 | |||||
| 평판 | 0.826 | |||||||
| 명성 | 0.794 | |||||||
| 학교위치(서울/지방) | 0.597 | 25.37 | ||||||
| 2 | 재정요인 | 등록금 | 0.806 | |||||
| 국공립/사립 | 0.751 | |||||||
| 장학금 혜택 | 0.746 | 16.503 | ||||||
| 3 | 비전 | 적성/특기 | 0.747 | |||||
| 졸업 후 진로 | 0.646 | |||||||
| 교육환경(시설,규모,프로그램,캠퍼스) | 0.575 | |||||||
| 대학생활 | 0.547 | 8.537 | ||||||
| 4 | 입시정보 | 올 해 입시 전망(지원가능 점수대,경쟁률) | 0.801 | |||||
| 전년도 입시 결과(점수,경쟁률) | 0.796 | |||||||
| 학과 관련 소식,정보 | 0.5 | 7.513 | ||||||
| 5 | 입학전형 | 0.903 | 6.880 | |||||
| 중요성의 정도에 따라서 정열한 표 (7점척도) | |||
| 대학 관련 정보 | N | Mean | SD |
| 졸업 후 진로 | 358 | 6.12 | 1.231 |
| 적성/특기 | 357 | 5.84 | 1.446 |
| 올 해 입시 전망(지원가능 점수대,경쟁률) | 357 | 5.8 | 1.486 |
| 학교위치(서울/지방) | 356 | 5.49 | 1.642 |
| 입학전형 | 358 | 5.4 | 1.61 |
| 학과 관련 소식,정보 | 358 | 5.39 | 1.539 |
| 대학생활 | 358 | 5.37 | 1.56 |
| 교육환경(시설,규모,프로그램,캠퍼스) | 358 | 5.34 | 1.441 |
| 명성 | 358 | 5.29 | 1.555 |
| 평판 | 356 | 5.27 | 1.482 |
| 전년도 입시 결과(점수,경쟁률) | 358 | 5.18 | 1.628 |
| 학교순위,여론조사 | 356 | 5.02 | 1.599 |
| 등록금 | 358 | 4.96 | 1.844 |
| 장학금 혜택 | 358 | 4.75 | 1.715 |
| 국공립/사립 | 356 | 3.71 | 1.8 |
일반적인 의미에서 대학선택에 필요한 정보 중 중요한 정도를 나타내로도록 한 문항.
- 졸업후진로
- 적성특기
- 올해입시전망
- 학교위치
- 입학전형 순으로 나타남
올 해 입시 전망(지원가능 점수대,경쟁률) (F = 6.536, p < 0.01)
학과 관련 소식,정보 (F = 5.28, p < 0.01)
명성 (F = 9.976, p < 0.001)
평판 (F = 13.908, p < 0.001)
학교순위,여론조사 (F = 11.601, p < 0.001)
졸업 후 진로 (F = 3.609, p < 0.028)
등록금 (F = 17.868, p < 0.001)
대학생활 (F = 12.475, p < 0.001)
평판, 명성 등의 항목에서 대학신입생이 고등학생보다 높은 수준의 점수를 보였으며, 대학생활, 등록금에 있어서는 낮은 수준을 보임. 학과 관련 소식,정보 (F = 5.28, p < 0.01)
명성 (F = 9.976, p < 0.001)
평판 (F = 13.908, p < 0.001)
학교순위,여론조사 (F = 11.601, p < 0.001)
졸업 후 진로 (F = 3.609, p < 0.028)
등록금 (F = 17.868, p < 0.001)
대학생활 (F = 12.475, p < 0.001)

[JPG image (16.5 KB)]

[JPG image (17.41 KB)]
| 올 해 입시 전망(지원가능 점수대,경쟁률) | |||
| 학년 | N | 1 | 2 |
| high 1 | 71 | 5.66 | |
| college | 214 | 5.66 | |
| high 2 | 72 | 6.36 | |
| 등록금 | |||
| 학년 | N | 1 | 2 |
| college | 215 | 4.51 | |
| high 1 | 71 | 5.62 | |
| high 2 | 72 | 5.67 | |
| 대학생활 | |||
| 학년 | N | 1 | 2 |
| college | 215 | 5.05 | |
| high 1 | 71 | 5.76 | |
| high 2 | 72 | 5.94 | |
| 졸업후진로 | ||
| 학년 | N | 1 |
| college | 215 | 5.99 |
| high 1 | 71 | 6.21 |
| high 2 | 72 | 6.42 |
| 학교순위 여론조사 | |||
| 학년 | N | 1 | 2 |
| high 1 | 70 | 4.4 | |
| high 2 | 71 | 4.68 | |
| college | 215 | 5.33 | |
| 평판 | |||
| 학년 | N | 1 | 2 |
| high 1 | 70 | 4.67 | |
| high 2 | 71 | 4.89 | |
| college | 215 | 5.59 | |
| 명성 | |||
| 학년 | N | 1 | 2 |
| high 1 | 71 | 4.62 | |
| high 2 | 72 | 5.19 | |
| college | 215 | 5.54 | |
| 학교관련 소식정보 | |||
| 학년 | N | 1 | 2 |
| college | 215 | 5.2 | |
| high 1 | 71 | 5.52 | 5.52 |
| high 2 | 72 | 5.85 | |
4.1.1. 대학 선택 시 가장 필요한 정보 (3번문항) ¶
자신이 대학을 선택할 때 가장 필요한 정보로 무엇을 고르겠는가에 대한 응답.
| 순위 | 대학 선택 시 가장 필요한 정보 | 빈도 |
| 1 | 졸업 후 진로 | 225 |
| 2 | 올 해 입시 전망(지원가능 점수대,경쟁률) | 217 |
| 3 | 적성/특기 | 204 |
| 4 | 학교위치(서울/지방) | 179 |
| 5 | 명성 | 151 |
| 6 | 전년도 입시 결과(점수,경쟁률) | 137 |
| 7 | 평판 | 115 |
| 8 | 입학전형 | 111 |
| 9 | 교육환경(시설,규모,프로그램,캠퍼스) | 107 |
| 10 | 학교순위,여론조사 | 102 |
| 11 | 학과 관련 소식,정보 | 88 |
| 12 | 등록금 | 87 |
| 13 | 대학생활 | 86 |
| 14 | 장학금 혜택 | 55 |
| 15 | 국공립/사립 | 35 |
| 16 | 기타 | 25 |
| 순위 | A. 대학 선택 시 중요한 정보 | B.대학 선택 시 필요한 정보 | 변동사항(A-B) |
| 1 | 졸업 후 진로 | 졸업 후 진로 | - |
| 2 | 적성/특기 | 올 해 입시 전망(지원가능 점수대,경쟁률) | +1 |
| 3 | 올 해 입시 전망(지원가능 점수대,경쟁률) | 적성/특기 | -1 |
| 4 | 학교위치(서울/지방) | 학교위치(서울/지방) | - |
| 5 | 입학전형 | 명성 | +4 |
| 6 | 학과 관련 소식,정보 | 전년도 입시 결과(점수,경쟁률) | +5 |
| 7 | 대학생활 | 평판 | +2 |
| 8 | 교육환경(시설,규모,프로그램,캠퍼스) | 입학전형 | -3 |
| 9 | 명성 | 교육환경(시설,규모,프로그램,캠퍼스) | -1 |
| 10 | 평판 | 학교순위,여론조사 | +2 |
| 11 | 전년도 입시 결과(점수,경쟁률) | 학과 관련 소식,정보 | -5 |
| 12 | 학교순위,여론조사 | 등록금 | +1 |
| 13 | 등록금 | 대학생활 | -6 |
| 14 | 장학금 혜택 | 장학금 혜택 | - |
| 15 | 국공립/사립 | 국공립/사립 | - |
자신의 대학입학에 필요한 정보에 대한 학년별 비교:
| 순위 | 고1 | 빈도 | 고3 | 빈도 | 신입생 | 빈도 |
| 1 | 졸업 후 진로 | 48 | 졸업 후 진로 | 58 | 올 해 입시 전망 (지원가능 점수대,경쟁률) | 124 |
| 2 | 적성/특기 | 43 | 올 해 입시 전망 (지원가능 점수대,경쟁률) | 50 | 적성/특기 | 117 |
| 3 | 올 해 입시 전망 (지원가능 점수대,경쟁률) | 41 | 학교위치(서울/지방) | 41 | 명성 | 113 |
| 4 | 학교위치(서울/지방) | 33 | 적성/특기 | 39 | 졸업 후 진로 | 107 |
| 5 | 전년도 입시 결과 (점수,경쟁률) | 21 | 입학전형 | 27 | 전년도 입시 결과 (점수,경쟁률) | 100 |
| 6 | 교육환경 (시설,규모,프로그램,캠퍼스) | 21 | 등록금 | 27 | 학교위치(서울/지방) | 99 |
| 7 | 학과 관련 소식,정보 | 20 | 학과 관련 소식,정보 | 25 | 평판 | 82 |
| 8 | 대학생활 | 18 | 교육환경 (시설,규모,프로그램,캠퍼스) | 24 | 학교순위,여론조사 | 77 |
| 9 | 등록금 | 17 | 대학생활 | 22 | 입학전형 | 60 |
| 10 | 명성 | 14 | 명성 | 20 | 교육환경 (시설,규모,프로그램,캠퍼스) | 51 |
| 11 | 입학전형 | 14 | 전년도 입시 결과(점수,경쟁률) | 15 | 학과 관련 소식,정보 | 40 |
| 12 | 평판 | 11 | 평판 | 14 | 대학생활 | 31 |
| 13 | 장학금 혜택 | 11 | 학교순위,여론조사 | 10 | 등록금 | 29 |
| 14 | 국공립/사립 | 7 | 국공립/사립 | 8 | 장학금 혜택 | 26 |
| 15 | 학교순위,여론조사 | 6 | 장학금 혜택 | 5 | 국공립/사립 | 13 |

[JPG image (52.08 KB)]
4.1.2. 미디어 사용 유무 (4번 문항) ¶
| 순위 | 해당 미디어를 통해 대학 관련 정보를 얻은 경험 | 빈도 |
| 1 | 대학교 홈페이지 | 309 |
| 2 | 진학사이트 | 306 |
| 3 | 입시정보책자 | 301 |
| 4 | 포털 커뮤니티(카페,지식인) | 294 |
| 5 | 친구 | 280 |
| 6 | 학교선생님 | 279 |
| 7 | 학교자료 책자, 브로셔 | 275 |
| 8 | 지인 | 239 |
| 9 | 가족 | 237 |
| 10 | 신문 | 217 |
| 11 | 정보성 TV 프로그램(뉴스,시사/교양/다큐,교육방송) | 210 |
| 12 | 학원선생님 | 173 |
| 13 | 블로그 | 157 |
| 14 | 대학입시설명회 | 149 |
| 15 | 고교방문설명회 | 121 |
| 16 | 감성적 TV 프로그램(드라마,예능,광고) | 71 |
| 17 | 잡지 | 57 |
| 18 | 라디오 | 56 |
4.1.3. 각 정보에 대한 습득 경로 (5번문항) ¶
| 순위 | 전년도 입시 결과 (점수, 경쟁률) | 빈도 | 올해 입시 전망 (지원 가능 점수대, 경쟁률) | 빈도 | 학과 관련 소식 | 빈도 |
| 1 | 진학사이트 | 179 | 진학사이트 | 199 | 대학교 홈페이지 | 195 |
| 2 | 대학교 홈페이지 | 135 | 학교선생님 | 126 | 진학사이트 | 115 |
| 3 | 학교선생님 | 126 | 입시정보책자 | 118 | 포털 커뮤니티(카페,지식인) | 103 |
| 4 | 입시정보책자 | 117 | 대학교 홈페이지 | 108 | 학교자료 책자,브로셔 | 98 |
| 5 | 포털 커뮤니티(카페,지식인) | 89 | 포털 커뮤니티(카페,지식인) | 96 | 학교선생님 | 77 |
| 6 | 학원선생님 | 72 | 학원선생님 | 71 | 입시정보책자 | 74 |
| 7 | 학교자료 책자,브로셔 | 63 | 친구 | 52 | 학원선생님 | 51 |
| 8 | 친구 | 51 | 학교자료 책자,브로셔 | 44 | 친구 | 48 |
| 9 | 지인 | 47 | 신문 | 42 | 대학입시설명회 | 45 |
| 10 | 신문 | 46 | 가족 | 41 | 블로그 | 41 |
| 11 | 가족 | 35 | 지인 | 37 | 지인 | 39 |
| 12 | 블로그 | 34 | 대학입시설명회 | 37 | 가족 | 36 |
| 13 | 대학입시설명회 | 32 | 블로그 | 30 | 고고방문설명회 | 30 |
| 14 | 고고방문설명회 | 22 | 정보성 TV프로그램 | 26 | 신문 | 28 |
| 15 | 정보성 TV프로그램 | 19 | 고고방문설명회 | 23 | 정보성 TV프로그램 | 17 |
| 16 | 잡지 | 12 | 잡지 | 13 | 잡지 | 14 |
| 17 | 감성적 TV프로그램 | 8 | 라디오 | 8 | 라디오 | 12 |
| 18 | 라디오 | 6 | 감성적 TV프로그램 | 5 | 감성적 TV프로그램 | 5 |
| 순위 | 명성 | 빈도 | 적성, 특기 | 빈도 | 학교순위/여론조사 | 빈도 |
| 1 | 포털 커뮤니티(카페,지식인) | 140 | 가족 | 109 | 포털 커뮤니티(카페,지식인) | 149 |
| 2 | 친구 | 126 | 학교선생님 | 108 | 진학사이트 | 128 |
| 3 | 학교선생님 | 105 | 친구 | 106 | 신문 | 85 |
| 4 | 지인 | 91 | 대학교 홈페이지 | 88 | 블로그 | 70 |
| 5 | 가족 | 79 | 포털 커뮤니티(카페,지식인) | 76 | 학교선생님 | 66 |
| 6 | 진학사이트 | 77 | 진학사이트 | 72 | 친구 | 62 |
| 7 | 신문 | 72 | 학원선생님 | 61 | 대학교 홈페이지 | 57 |
| 8 | 학원선생님 | 61 | 입시정보책자 | 59 | 입시정보책자 | 57 |
| 9 | 대학교 홈페이지 | 53 | 지인 | 57 | 학원선생님 | 48 |
| 10 | 블로그 | 52 | 학교자료 책자,브로셔 | 38 | 지인 | 43 |
| 11 | 입시정보책자 | 45 | 블로그 | 30 | 정보성 TV프로그램 | 40 |
| 12 | 학교자료 책자,브로셔 | 34 | 대학입시설명회 | 29 | 가족 | 39 |
| 13 | 대학입시설명회 | 29 | 신문 | 24 | 학교자료 책자,브로셔 | 31 |
| 14 | 정보성 TV프로그램 | 24 | 정보성 TV프로그램 | 24 | 대학입시설명회 | 26 |
| 15 | 고고방문설명회 | 17 | 감성적 TV프로그램 | 17 | 고고방문설명회 | 13 |
| 16 | 잡지 | 12 | 고고방문설명회 | 17 | 감성적 TV프로그램 | 11 |
| 17 | 감성적 TV프로그램 | 11 | 잡지 | 9 | 잡지 | 10 |
| 18 | 라디오 | 6 | 라디오 | 7 | 라디오 | 6 |
| 순위 | 교육환경(시설,규모,프로그램,캠퍼스) | 빈도 | 대학생활 | 빈도 | 평판 | 빈도 |
| 1 | 대학교 홈페이지 | 205 | 지인 | 129 | 포털 커뮤니티(카페,지식인) | 133 |
| 2 | 포털 커뮤니티(카페,지식인) | 92 | 포털 커뮤니티(카페,지식인) | 112 | 친구 | 124 |
| 3 | 학교자료 책자,브로셔 | 89 | 친구 | 108 | 학교선생님 | 113 |
| 4 | 지인 | 64 | 대학교 홈페이지 | 93 | 진학사이트 | 86 |
| 5 | 입시정보책자 | 63 | 블로그 | 69 | 지인 | 85 |
| 6 | 진학사이트 | 62 | 학교선생님 | 66 | 가족 | 82 |
| 7 | 학교선생님 | 61 | 학원선생님 | 65 | 학원선생님 | 68 |
| 8 | 블로그 | 57 | 가족 | 52 | 블로그 | 53 |
| 9 | 친구 | 55 | 학교자료 책자,브로셔 | 47 | 신문 | 48 |
| 10 | 가족 | 42 | 진학사이트 | 44 | 입시정보책자 | 45 |
| 11 | 학원선생님 | 41 | 입시정보책자 | 39 | 대학교 홈페이지 | 42 |
| 12 | 대학입시설명회 | 38 | 대학입시설명회 | 24 | 학교자료 책자,브로셔 | 35 |
| 13 | 고고방문설명회 | 19 | 고고방문설명회 | 21 | 대학입시설명회 | 29 |
| 14 | 신문 | 18 | 신문 | 15 | 정보성 TV프로그램 | 19 |
| 15 | 정보성 TV프로그램 | 16 | 정보성 TV프로그램 | 12 | 고고방문설명회 | 14 |
| 16 | 감성적 TV프로그램 | 8 | 잡지 | 8 | 감성적 TV프로그램 | 10 |
| 17 | 잡지 | 7 | 라디오 | 6 | 잡지 | 8 |
| 18 | 라디오 | 7 | 감성적 TV프로그램 | 6 | 라디오 | 6 |
| 순위 | 학교위치(서울/지방) | 빈도 | 국공립/사립 | 빈도 | 입학전형 | 빈도 |
| 1 | 대학교 홈페이지 | 174 | 대학교 홈페이지 | 155 | 대학교 홈페이지 | 191 |
| 2 | 진학사이트 | 95 | 진학사이트 | 91 | 진학사이트 | 134 |
| 3 | 포털 커뮤니티(카페,지식인) | 90 | 포털 커뮤니티(카페,지식인) | 83 | 입시정보책자 | 103 |
| 4 | 학교선생님 | 83 | 학교선생님 | 74 | 학교선생님 | 101 |
| 5 | 입시정보책자 | 74 | 입시정보책자 | 67 | 학교자료 책자,브로셔 | 89 |
| 6 | 친구 | 68 | 친구 | 58 | 포털 커뮤니티(카페,지식인) | 68 |
| 7 | 가족 | 66 | 가족 | 57 | 학원선생님 | 54 |
| 8 | 학교자료 책자,브로셔 | 58 | 학교자료 책자,브로셔 | 56 | 대학입시설명회 | 46 |
| 9 | 학원선생님 | 56 | 지인 | 48 | 친구 | 40 |
| 10 | 지인 | 51 | 학원선생님 | 43 | 가족 | 33 |
| 11 | 블로그 | 37 | 신문 | 33 | 지인 | 33 |
| 12 | 대학입시설명회 | 32 | 대학입시설명회 | 32 | 블로그 | 29 |
| 13 | 신문 | 28 | 블로그 | 26 | 고고방문설명회 | 26 |
| 14 | 고고방문설명회 | 21 | 정보성 TV프로그램 | 23 | 신문 | 23 |
| 15 | 정보성 TV프로그램 | 17 | 고고방문설명회 | 20 | 정보성 TV프로그램 | 12 |
| 16 | 잡지 | 11 | 잡지 | 10 | 감성적 TV프로그램 | 8 |
| 17 | 라디오 | 7 | 감성적 TV프로그램 | 9 | 잡지 | 7 |
| 18 | 감성적 TV프로그램 | 6 | 라디오 | 8 | 라디오 | 7 |
| 순위 | 졸업 후 진로 | 빈도 | 장학금혜택 | 빈도 | 등록금 | 빈도 |
| 1 | 대학교 홈페이지 | 146 | 대학교 홈페이지 | 205 | 대학교 홈페이지 | 200 |
| 2 | 포털 커뮤니티(카페,지식인) | 90 | 학교자료 책자,브로셔 | 97 | 포털 커뮤니티(카페,지식인) | 82 |
| 3 | 학교선생님 | 85 | 포털 커뮤니티(카페,지식인) | 72 | 학교자료 책자,브로셔 | 74 |
| 4 | 진학사이트 | 77 | 진학사이트 | 67 | 진학사이트 | 63 |
| 5 | 학교자료 책자,브로셔 | 72 | 입시정보책자 | 66 | 입시정보책자 | 60 |
| 6 | 가족 | 72 | 학교선생님 | 53 | 가족 | 49 |
| 7 | 입시정보책자 | 69 | 대학입시설명회 | 49 | 지인 | 46 |
| 8 | 학원선생님 | 62 | 가족 | 44 | 친구 | 44 |
| 9 | 지인 | 55 | 지인 | 37 | 학교선생님 | 44 |
| 10 | 친구 | 51 | 학원선생님 | 34 | 블로그 | 43 |
| 11 | 블로그 | 43 | 친구 | 33 | 학원선생님 | 37 |
| 12 | 대학입시설명회 | 32 | 블로그 | 32 | 대학입시설명회 | 34 |
| 13 | 신문 | 26 | 신문 | 26 | 고고방문설명회 | 30 |
| 14 | 정보성 TV프로그램 | 23 | 고고방문설명회 | 26 | 신문 | 27 |
| 15 | 고고방문설명회 | 18 | 정보성 TV프로그램 | 15 | 정보성 TV프로그램 | 24 |
| 16 | 잡지 | 8 | 잡지 | 8 | 라디오 | 9 |
| 17 | 감성적 TV프로그램 | 8 | 감성적 TV프로그램 | 8 | 잡지 | 8 |
| 18 | 라디오 | 6 | 라디오 | 7 | 감성적 TV프로그램 | 8 |

[JPG image (44.81 KB)]

[JPG image (38.67 KB)]
4.2. 학교 홈페이지 접속 경로 ¶
| 학교 홈페이지 접속을 하는 경로 | 빈도 |
| 다음, 네이버, 구글과 같은 포털 서비스를 이용한 검색을 통해서 | 311 |
| 입시관련 커뮤니티에 소개된 링크를 통해서 | 146 |
| 직접 웹사이트 주소를 입력해서 | 85 |
| 대학교 홈페이지에 접속해본 적이 없다 | 67 |
| 입시와는 관련이 없는 커뮤니티에 소개된 링크를 통해서 | 25 |
| 기타 | 11 |
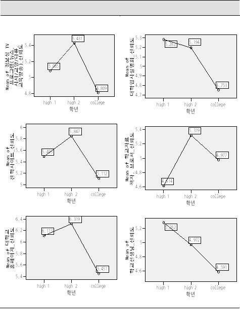
4.3. 정보원들에 대한 신뢰도 ¶
| 각 매체에 대한 신뢰도 | Mean (SD) |
| 대학교 홈페이지_신뢰도 | 5.76 (1.51) |
| 진학사이트_신뢰도 | 5.34 (1.43) |
| 입시정보책자_신뢰도 | 5.21 (1.47) |
| 정보성 TV 프로그램(뉴스,시사/교양/다큐,교육방송)_신뢰도 | 4.99 (1.60) |
| 학교자료 책자, 브로셔_신뢰도 | 4.97 (1.63) |
| 대학입시설명회_신뢰도 | 4.95 (1.59) |
| 학교선생님_신뢰도 | 4.80 (1.57) |
| 고교방문설명회_신뢰도 | 4.56 (1.65) |
| 학원선생님_신뢰도 | 4.53 (1.56) |
| 포털 커뮤니티(카페,지식인)_신뢰도 | 4.45 (1.35) |
| 신문_신뢰도 | 4.41 (1.65) |
| 가족_신뢰도 | 4.35 (1.51) |
| 지인_신뢰도 | 4.22 (1.42) |
| 블로그_신뢰도 | 4.10 (1.43) |
| 친구_신뢰도 | 4.06 (1.44) |
| 잡지_신뢰도 | 3.69 (1.50) |
| 라디오_신뢰도 | 3.58 (1.58) |
| 감성적 TV 프로그램 (드라마, 예능, 광고)_신뢰도 | 2.65 (1.48) |
- 정보성 TV 프로그램 (F(2,355) = 4.32, p < .05)
- 진학사이트 (F(2, 355) = 7.96, p < .001)
- 대학교 홈페이지 (F(2, 355) = 12.08, p < .001)
- 대학입시설명회 (F(2, 355) = 4.11, p < .05)
- 학교자료 책자, 브로셔 (F(2, 354) = 3.36, p < .05)
- 학교선생님_신뢰도 (F(2, 355) = 5.81, p < .01)

[JPG image (35.07 KB)]
4.3.1. 정보원들에 대한 유용성 ¶
| 각 매체에 대한 유용성 | Mean (SD) |
| 대학교 홈페이지_유용성 | 5.66 (1.48) |
| 진학사이트_유용성 | 5.37 (1.51) |
| 입시정보책자_유용성 | 5.35 (1.48) |
| 학교자료 책자, 브로셔_유용성 | 5.12 (1.57) |
| 대학입시설명회_유용성 | 5.07 (1.53) |
| 학교선생님_유용성 | 4.84 (1.61) |
| 포털 커뮤니티(카페,지식인)_유용성 | 4.80 (1.48) |
| 정보성 TV 프로그램(뉴스,시사/교양/다큐,교육방송)_유용성 | 4.79 (1.52) |
| 고교방문설명회_유용성 | 4.64 (1.59) |
| 학원선생님_유용성 | 4.46 (1.59) |
| 신문_유용성 | 4.39 (1.53) |
| 블로그_유용성 | 4.37 (1.50) |
| 가족_유용성 | 4.36 (1.49) |
| 친구_유용성 | 4.28 (1.45) |
| 지인_유용성 | 4.12 (1.52) |
| 잡지_유용성 | 3.66 (1.44) |
| 라디오_유용성 | 3.49 (1.46) |
| 감성적 TV 프로그램(드라마,예능,광고)_유용성 | 2.91 (1.50) |

[JPG image (14.35 KB)]
4.3.2. 정보원들에 대한 편의성 ¶
| 각 정보원에 대한 편의성 | Mean (SD) |
| 진학사이트_편의성 | 5.79 (1.40) |
| 대학교 홈페이지_편의성 | 5.68 (1.44) |
| 포털 커뮤니티(카페,지식인)_편의성 | 5.49 (1.53) |
| 입시정보책자_편의성 | 5.37 (1.42) |
| 학교자료 책자, 브로셔_편의성 | 5.25 (1.53) |
| 대학입시설명회_편의성 | 5.08 (1.52) |
| 학교선생님_편의성 | 4.97 (1.63) |
| 블로그_편의성 | 4.81 (1.58) |
| 고교방문설명회_편의성 | 4.63 (1.72) |
| 친구_편의성 | 4.48 (1.55) |
| 학원선생님_편의성 | 4.46 (1.74) |
| 정보성 TV 프로그램(뉴스,시사/교양/다큐,교육방송)_편의성 | 4.31 (1.60) |
| 가족_편의성 | 4.27 (1.67) |
| 지인_편의성 | 4.25 (1.57) |
| 신문_편의성 | 3.86 (1.68) |
| 잡지_편의성 | 3.15 (1.57) |
| 라디오_편의성 | 3.03 (1.56) |
| 감성적 TV 프로그램(드라마,예능,광고)_편의성 | 2.74 (1.54) |

[JPG image (24.93 KB)]
5. 제언 ¶
구글 아날리틱스 등과 같은 도구를 이용한 웹사이트 사용분석 +
- 대학선택시 학교 홈페이지의 사용이 중요한 정보원으로 작용하며, 신뢰성, 유용성, 편의성에 대한 평가 또한 높음. 크게 보면,
- 학교이미지 (명성, 평판) – 포털 등 외부 자료를 통해서
- 비전 , 재정 - 학교 홈페이지 참조
- 입시정보 - 진학학원, 선생님, 학원 등의 입시도움 기관
- 학교이미지 (명성, 평판) – 포털 등 외부 자료를 통해서
- 등의 루트를 통해서 학생들이 정보를 얻고 있는 것으로 보임.
- 학교이미지와 관련된 자료들 또한 학교 홈페이지를 출처로 하는 것들이 많은 것으로 파악됨
- 특히, 졸업 후 진로 및 적성, 특기에 대한 안내와 소개가 학생들에게 유용하게 활용될 것으로 파악됨 (대학선택에 있어서 학교가 제공해 줄 수 있는 요인들)
6. 입학처/입학사정센터 웹사이트 분석 보고 ¶
- 입학사정관제는 전체 89개 대학에서 시행
- 그 중 정부지원대학 47개를 선정하여 조사
- 크게 접근성, 내용, 디자인, 상호작용성부분으로 나누어 분석
- 입학사정관제 홈페이지는 입학처와 통합하여 운영하거나, 입학사정관제 홈페이지를 독자적으로 운영하고 있다.
- 총 47개 대학 중 10개 대학이 입학사정관제 홈페이지를 독자적으로 운영.(경희대, 인하대, 한양대, 동국대, 아주대, 전남대, 포항공대, 한국외대, 홍익대, 숭실대)
- 입학 홍보에서 인터넷을 기반으로 한 홈페이지의 이용이 점점 중요하게 됨에 따라 각 대학들이 입학관련 부서를 통해 학생, 학부모, 교사들과 입학사정관제를 커뮤니케이션 하기 위해 웹사이트를 적극적으로 이용하고 있는 것으로 나타났다.
- 그러나 선도대학보다는 정부의 재정지원 규모가 적은 계속대학들이 입학사정센터 홈페이지를 독자적으로 운영하는 비율이 높았다.
- 각 대학들이 입학관련 홈페이지를 통해 그 대학의 캐치프레이즈를 활용하여 적극적으로 홍보활동을 하고 있는 것으로 나타났다.
- 구조적인 기술적인 측면에서 각 대학의 웹사이트는 큰 차이가 없는 것으로 나타났다. 그러나 아직 메인 네비게이션에 입학사정관제(센터)가 포함되지 않고 배너나 퀵링트를 이용하는 경우도 있었다. 특히 아주대학의 경우는 입학처 메인 네비게이션에 입학사정센터가 포함되지 않아서 독자적으로 웹사이트를 운영하지만 이동 접근성면에서는 문제점이 있는 것으로 보인다.
- 상호작용면에서는 기술적으로는 기반이 잘 갖추어져 있으나 실제 커뮤니케이션이 활발하게 이루어지고 있지는 않은 것으로 나타났다.
| 분석유목 | 측정항목에 대한 정의 |
| 구성이미지 | 1) 대학교, 입학처, 입학사정센터의 각 홈페이지가 통일감을 가지고 있다 |
| 2) 대학교, 입학처, 입학사정센터의 각 홈페이지의 주 색상이 같다. | |
| 3) 대학교, 입학처, 입학사정센터의 각 홈페이지의 구조가 비슷하다. | |
| 4) 대학교, 입학처, 입학사정센터의 각 홈페이지의 형태가 비슷하다. | |
| 5) 주목성: 눈길을 끄는 메뉴들이 많다 | |
| 6) 흥미성: 홈피의 구성이 흥미를 끈다 | |
| 7) 독창성: 홈피의 구성이 독창적이다 | |
| 8) 정돈성: 홈피의 구성이 잘 정돈되어 있다 | |
| 9) 정확성: 홈피의 그래픽이나 글자에 잘못된 곳이 없다 | |
| 10) 적절성: 메뉴, 지시문의 위치가 적절하게 배치되어 있다 | |
| 11) 오락성: 홈피의 항해가 재미있다. | |
| 이용용이성 | 1) 정보획득용이성: 초보자도 필요한 내용을 쉽게 찾을 수 있도록 되어있다 |
| 2) 링크이동 속도성: 링크되어 있는 정보로의 이동이 짧은 시간에 이루어진다. | |
| 3) 조작정확성: 조작에러가 없다 | |
| 4) 메뉴식별성: 아이콘이나 그래픽 메뉴가 뚜렷이 식별된다 | |
| 5) 문서정보적절성: 문서의 현 위치를 표시해주는 정보가 적절하다 | |
| 6) 이해용이성: 메뉴, 설명의 용어들이 내용을 쉽게 이해할 수 있도록 되어 있다 | |
| 7) 복귀용이성: 실수를 해도 원래대로 복귀하기가 쉽다 | |
| 정보성 | 1) 다양성: 전반적인 입시/전형 내용을 알 수 있는 다양한 정보를 제공하고 있다 |
| 2) 신뢰성: 전형과 관련하여 신뢰할 수 있는 내용을 제공하고 있다 | |
| 3) 심층성: 전형 및 전형방법에 대하여 깊이있는 정보를 제공하고 있다 | |
| 4) 유용성: 전형과 관련하여 유용한 정보를 제공하고 있다 | |
| 5) 전문성: 전형에 대하여 전문적인 정보를 제공하고 있다 | |
| 6) 이해성: 전형에 관하여 쉽게 이해할 수 있는 정보를 제공하고 있다 |

[JPG image (14.55 KB)]

[JPG image (17.29 KB)]
| 대학교 | 1st Depth | 2nd Depth |
| 숭실대 | 수시모집 | 모집요강, 전년도 입시결과, 수시모집 자료실 |
| 정시모집 | 모집요강, 전년도 입시결과, 정시모집 자료실 | |
| 편입학 | 모집요강, 전년도 입시결과, 편입학 자료실 | |
| 재외국민과 외국인 | 모집요강, 전년도 입시결과, 재외국민과 외국인 자료실 | |
| 시간제 | 모집요강 | |
| International Students | Admission Guide, Resources | |
| 입시도우미 | 논술고사정보, 실기고사정보, 입시캘린더, 입시자료실, 입시설명회 | |
| 입학상담 | 입학FAQ, 입학Q&A, 공지사항 | |
| 가톨릭대 | 수시1차 | 공지사항, 모집요강, 자료실 |
| 수시2차 | 공지사항, 모집요강, 자료실 | |
| 정시모집 | 공지사항, 모집요강, 자료실 | |
| 편입학 | 공지사항, 일반편입학, 학사편입학, 간호전문학사편입학, 군위탁편입학, 재외국민 외국인 편입학, 인터넷 원서접수안내 | |
| 재입학시간제 | 공지사항, 시간제, 재입학, 자료실 | |
| 재외국민과 외국인 | 공지사항, 모집요강, 자료실 | |
| 입시도우미 | 공지사항, 입학사정관전형, 입시캘린더, 입시자료신청, 학생부교과성적산출, FAQ, Q&A | |
| 가대소개 | 학부,전공소개, 장학제도, 기숙사안내, 동아리소개, 캠퍼스맵, 오시는길 | |
| 회원정보 | 로그인, 회원가입,약관, 아이디비번찾기, 개인정보보호정책 | |
| 건국대 | 입학안내 | 수시1학기모집, 수시2학기모집, 정시모집, 재외국인, 편입&시간제 |
| 상담게시판 | 입시상담, FAQ | |
| 학과안내 | 서울캠퍼스, 충주캠퍼스 | |
| 입시정보 | 전형결과, 입시캘린더, 입시정보자료실, 입시자료 신청 | |
| 경북대 | 경북대 | 학교찾아오시는길, 학교돌아보기, 내게 꼭 맞는 KNU 이학과, 장학제도, 복수전공, 교직이수안내, 후생복지시설 |
| 등록금예고 | ||
| 사이버홍보실 | ||
| 수시모집 | 수시모집 | |
| 정시모집 | 정시모집 | |
| 재외국민특례입학 | 재외국민특례입학 | |
| 편입학 | 편입학 | |
| 궁금해요 | 수시모집, 정시모집, 재외국민특례입학, 편입학 | |
| 입시자료실 | 수시모집, 정시모집, 재외국민특례입학, 편입학 | |
| 기타메뉴 | 공지사항, 개인정보보호, 온라인입시설명회, 사이버홍보실, 캠퍼스사이버투어, 내신환산도우미, 학과소개, 지원현황공고, 수험표출력, 합격자조회, 추가합격자조회, 뷰어다운로드 | |
| 경희대 | 수시모집 | 모집요강, 지원현황, 서식파일, 기출문제 |
| 정시모집 | 모집요강, 지원현황, 서식파일, 기출문제 | |
| 편입학 | 모집요강, 지원현황, 서식파일, 기출문제 | |
| 재외국민/외국인 | 모집요강, 지원현황, 서식파일, 기출문제 | |
| 입시도우미 | 입학상담, 입학FAQ, 홍보책자, 입시자료실, 입시캘린더, 논술특강, 캠퍼스투어, 공지사항 | |
| 학교정보 | 학과소개, 장학제도, 학사제도, 기숙사, 홍보영상, 캠퍼스 맵, 찾아오기 | |
| 입학사정관 | 입학사정관제, 전형안내, 합격전략, 예비 네오르네상스인 추천, 게시판, 자료실 | |
| 서울대 | 공지사항 | 대학, 대학원 |
| 대학입학 수시모집 | 지역균형선발전형, 특기자전형, 기회균형선발특별전형, 북한이탈주민특별전형 | |
| 대학입학 정시모집 | 일반전형, 농어촌학생특별전형, 특수교육대상자특별전형 | |
| 대학원입학 | 전기모집, 후기모집, 석박사통합과정, 전문대학원 | |
| 편입학 | 학사군위탁편입학 | |
| 외국인특별전형 | 전기모집, 후기모집, 경영전문대학원 | |
| 입학자료실 | 전형통계, 기출문제, 전년도모집요강, 각종지원서류양식, 모집단위별전공분야, 각학과별홈페이지, 등록및장학금, 기숙사안내 | |
| 입학전형상담 | FAQ, Q&A | |
| 성균관대 | 수시 | 모집요강, 자료실, 서류제출확인, 고사장안내, 합격자안내 |
| 정시모집 | 모집요강, 자료실, 서류제출확인, 고사장안내, 합격자안내 | |
| 편입학 | 모집요강, 자료실, 서류제출확인, 고사장안내, 합격자안내 | |
| 재외국민 | 모집요강, 자료실, 서류제출확인, 고사장안내, 합격자안내 | |
| 외국인특별전형 | Admission Guide Q&A, Download, Acceptance Announcement | |
| 입시도우미 | 입학자료 열람/신청, 입학상담Q&A, 입시자료실, 캠퍼스투어신청, 고교별합격자조회 | |
| 학교정보 | 학과링크, 학사안내, 장학안내, 교통안내, 양현관/고시반, 기숙사, 학교소식, 경시대회 | |
| 공지사항 | 전체, 수시, 정시, 편입학, 재외국민, 외국인, 공통, 기타 | |
| 연세대 | 전형안내 | 수시1차, 수시2차, 정시, 편입학, 재외국민, 외국인, 전문대학원 |
| 자료실 | 모집요강, 기출문제, 경쟁률, 설명회동영상, 기타 | |
| 입학도우미 | 공지사항, FAQ, Q&A, 입학정보지, 입학정보지신청 | |
| 입학행정서비스 | 수험생, 고등학교 | |
| 대학안내 | 전공안내, 학사안내, 장학제도, 기숙사, 오시는길 | |
| 인하대 | 모집요강 | 입시일정, 수시2-1, 수시2-2, 정시, 편입학, 재외국민 외국인, 외국인 특별전형 |
| 입시정보 | 입시결과, 일반서식, 기출문제, 적성평가 | |
| 학부안내 | ||
| 인하정보 | INHA2000, Global INHA, E-campus, 장학제도, 학사제도, 기숙사, 스쿨버스, 오시는 길 | |
| 입시상담 | 1:1상담, FAQ, 입시자료신청 | |
| 기타 | 공지사항, 캠퍼스 3D가상체험관, 온라인입시설명회, 인하대 명소둘러보기, 브로슈어, 나도인하인, 홍보동영상보기 | |
| 중앙대 | 수시 | 수시 1차 모집요강, 수시 2차 모집요강, 기출문제, 자료실, 내신성적산출 |
| 정시모집 | 정시 모집요강, 기출문제, 자료실, 내신성적산출, 수능성적산출 | |
| 재외국민 | 모집요강, 기출문제, 자료실 | |
| International Students | Admission Guide, Application, Resources, CAU Life | |
| 편입학 | 모집요강, 기출문제, 자료실 | |
| 대학소개 | 학과소개, 홍보영상, 교직이수, 학사제도, 등록금, 기숙사, 찾아오시는 길, 캠퍼스투어 | |
| 한양대 | 수시모집 | 모집요강, Q&A, 기출문제, 지난자료보기, 지원자 및 합격자보기 |
| 정시모집 | 모집요강, Q&A, 기출문제, 지난자료보기, 지원자 및 합격자보기 | |
| 편입학 | 모집요강, Q&A, 기출문제, 지난 자료보기, 지원자 및 합격자보기 | |
| 재외국민 | 모집요강, Q&A, 기출문제, 지난 자료보기, 지원자 및 합격자보기 | |
| 입시도우미 | 공지사항, 입시자료신청, 입시동영상, 자료실 | |
| 입학상담 | 온라인 상담, FAQ, 문의보기, 내문의 보기 | |
| 학교정보 | 학교소개, 학과전공, 장학제도, 교직이수안내, 기숙사안내, 학교소식지, 학교홍보동영상, 재학생홍보대사, 견학신청, 찾아오시는 길 | |
| International Program | International Program | |
| 대학원 정보 | 일반대학원, 전문대학원, 특수대학원 | |
| KAIST | 학사과정 | 모집요강, 1차, 2차, 3차, 4차 |
| 2+3융합학사과정 | 모집요강, 세부사항 | |
| 입시도우미 | 공지사항, FAQ, 자료실, 모집요강, 입시행정서비스, 입시담당자 | |
| KAIST 소개 | 교육제도 소개, 학과소개, 장학금소개, 홍보영상 | |
| 아주대 | 수시1차 | 모집요강, 입시 자료실, 입시결과 |
| 수시2차 | 모집요강, 입시 자료실, 입시결과 | |
| 정시모집 | 모집요강, 입시 자료실, 입시결과 | |
| 편입학 | 모집요강, 입시 자료실, 입시결과 | |
| 재외국민과 외국인 | 모집요강, 입시 자료실, 입시결과 | |
| 입학홍보 | 공지사항, 입시설명회 동영상, 입시설명회 신청, 캠퍼스 투어 신청 | |
| 아주포커스 | 국제교류, 장학제도, 교육과정, 기숙사 | |
| 입학상담 | FAQ, Q&A | |
| 울산과학기술대학교 | ||
| 이화여자대학교 | 수시모집 | 모집요강, 제출서류서식, 자료실 |
| 정시모집 | 모집요강, 제출서류서식, 자료실 | |
| 대학원 | 모집요강, 제출서류서식, 자료실 | |
| 재외국민/외국인 | 모집요강, 제출서류서식, 자료실 | |
| 입시도우미 | 공지사항, 언론보도, 자주 묻는질문, 입학상담, 입시캘린더, 입시설명회, 홍보동영상, 입시홍보자료 | |
| 대학소개 | 학부안내, 장학제도, 국제교류, 기숙사, 캠퍼스조감도, 학교오시는 길 | |
| 대학입학전형 | 수시2학기-1모집, 수시2학기-2모집, 정시, 재외국민과 외국인 | |
| 편입학전형 | 편입학 기본계획, 전형안내 | |
| 일반대학원입학전형 | 대학원안내, 전형안내 | |
| International Student | 전형안내, 제출서식, FAQ | |
| 입학정보 | 장학금안내, 입학자료실, 입학설명회 다시보기, 입시책자요청, Ewha@ro | |
| 학교안내 | 학과전공안내, 학사정보, 학생생활정보 | |
| 입학상담실 | FAQ, Q&A, 입학상담실 | |
| 전남대 | 기본계획 | 주요일정, 모집시기전형별 모집인원, 일반 지원자격, 모집단위별 모집인원, 수시2학기 모집(특별전형), 정시 가군 모집(일반전형), 정시 나군모집(일반/특별전형) |
| 수시모집 | 안내사항, 전형일정, 모집단위별 모집인원, 공통사항, 전형유형별안내, 모집요강 다운로드 | |
| 정시모집 | 공통사항, 가군, 나군, 모집요강 다운로드 | |
| 편입학전형 | 모집요강, 모집요강다운로드 | |
| 재외국민과 외국인 | ||
| International Admission | Spring Semester, Fall Semester | |
| 시간제 | 시간제 등록생 안내, 1학기, 2학기 | |
| 입학정보 | 입학자료실, 공지사항, 학생부 성적계산, 수능성적 계산, 첨부서류 도착확인, 지원자현황, 합격자조회, 고교진학상담실장서비스, 서식 자료실, 입학설명회 신청 | |
| 입학상담 | 입학 FAQ, 입학 Q&A | |
| 학교정보 | 학과안내, 등록금안내, 장학금정보, 생활관안내, 국제교류, 전남대웹진 | |
| 안내 | 사이트맵, 홈페이지도움말, 개인정보보호정책, 행정서비스현장, 행정서비스평가, 정보공개, 행동강령위반신고, 이메일주소무단수집거부 | |
| 전북대 | 입시도우미 | 대학입학전형계획, 국제교류, 장학제도, 생활관, 담당부서 안내전화, 입시자료신청, 오시는 길, 전체공지 |
| 학과안내 | 간호대학, 공과대학, 농업생명과학대학, 법과대학, 사범대학, 사회과학대학, 상과대학, 생활과학대학, 수의과대학, 예술대학, 인문대학, 자연과학대학, 환경생명자원대학 | |
| 대학원안내 | 대학원안내 | |
| 신입학 | 공통사항, 수시 2학기, 정시모집, 공지사항 | |
| 편입학 | 편입학, 공지사항, FAQ, Q&A, 자료실 | |
| 재외국민과 외국인 | 신입학 , 편입학 , 대학원, 공지사항, FAQ, Q&A, 자료실 | |
| 일반대학원 | 일반대학원 | |
| 특수대학원 | 특수대학원 | |
| 전문대학원 | 전문대학원 | |
| 시간제등록생 | 시간제등록생, 공지사항, FAQ, Q&A, 자료실 | |
| 통계정보 | 과별작년지원률, 과별취업률 | |
| 전주대 | 모집요강 | 수시1차, 수시2차, 정시, 재외국민, 외국인, 편입 |
| 입시정보 | 공지사항, 전주대소식, 입학사정관전형, 자료실, 내신성적산출, 수능성적산출, 전년도입시결과, 취업률 | |
| 입시상담 | 입시자료신청, FAQ, Q&A | |
| 학교소개 | 총장인사, 학교연혁, 대학특성화, 홍보영상, 대학,학과안내, 캠퍼스안내, 찾아오시는길 | |
| 대학생활 | 장학제도, 해외연수, 학점교류, 학사제도, 교직이수, 전과제도, STAR프로그램, 기숙사안내, 주변원룸안내 | |
| 커뮤니티 | 이야기방, 읽어보기, 전주대싸이월드, 이벤트, FAQ, Q&A | |
| 조선대 | 수시모집 | 수시1차, 수시1차 군사모집, 수시2차 |
| 입학사정관제 | 입학사정관제란, 입학사정관전형 안내(모집요강), 입학사정관전형 인재상,입학사정관전형 핵심포인트 , 입학사정관제 100문 100답 | |
| 정시모집 | 정시모집 가군, 정시모집 가군 군사학부, 정시모집 나군, 정시모집 다군 | |
| 편입학모집 | 일반편입학, 학사편입학, 간호학 편입학, 군위탁 편입학, 편입학 공통사항, 전년도 편입학 결과 분석 | |
| 시간제/교수교원 | 시간제 등록생 | |
| 입학정보 | 공지사항, 입학캘린더, 입학자료실, 입학자료신청 | |
| 입학상담 | 입학상담 | |
| 대학정보 | 학과안내, 학사안내, 장학금안내, 등록금안내, 포토갤러리 | |
| 대학안내 및 기타정보 | 이벤트안내, 기숙사안내, 캠퍼스안내, 교재전화번호, 찾아오시는길, 사이트맵 | |
| 회원 | 회원가입, 로그인, 아이디찾기, 비밀번호찾기, 회원정보수정 | |
| 충남대 | 학부입학 | 수시, 정시 가군, 정시 나군, 편입학, 입학사정관제, 입학정보, 학교정보 |
| 일반대학원 | 일반대학원 후기, 전기 1차, 전기 2차, 입학정보 | |
| 전문대학원 | 법학전문대학원, 의학전문대학원, 분석과학기술대학원 | |
| 특수대학원 | ||
| International Students | Undergraduate, Graduate, Transfer Information | |
| 충북대 | 수시1차(입학사정관전형) | 주요사항, 입시자료실, 입학사정관제도, 입학사정관갤러리, e-우수인재양성전형 |
| 수시2차 | 주요사항, 전년도 입시결과, 입시자료실 | |
| 재외국민과 외국인 | 주요사항, 전년도 입시결과, 입시자료실 | |
| 정시모집 | 주요사항, 전년도 입시결과, 입시자료실 | |
| 편입학 | 주요사항, 전년도 입시결과, 입시자료실 | |
| 일반대학원 | 주요사항, 전년도 입시결과, 입시자료실 | |
| 법학/의학전문대학원 | 주요사항, 전년도 입시결과, 입시자료실 | |
| 포항공대 | Why Postech? | 처장인사말, 학과소개, 교육환경, 캠퍼스생활, 장학제도, 졸업생진로, 홍보동영상, 캠퍼스맵, 오시는 길 |
| 모집요강 | 수시 일반전형, 재외국민과 외국인 특별전형 | |
| 원서접수, 등록 | 진행중인 접수, 나의 원서접수, 나의 입학관리 | |
| 입학도우미 | 공지사항, FAQ, Q&A | |
| 예비포스테키안 프로그램 | 이공계대탐험, 수학학력 경시대회, 잠재력 개발과정, 입시 카운슬링, 포스테키안, 입학사정관제 설명회, 고교방문신청, 캠퍼스 투어 | |
| 한국외국어대학교 | 수시2학기 | 모집요강, 입시Q&A, 전년도 입시결과, 수시2 자료실, 경시대회 및 FLEX 안내 |
| 정시 | 모집요강, 입시Q&A, 전년도 입시결과, 정시 자료실 | |
| 편입학 | 모집요강, 입시Q&A, 전년도 입시결과, 편입학 자료실 | |
| 재외국민과 외국인 | 모집요강, 입시Q&A, 자격변경예고, English, 中國語 | |
| 입학상담 | 입시 FAQ, 입학상담 Q&A, 통합자료실, 입시 설명회 신청, 공지사항 | |
| 학교정보 | 신입생 고교별 안내, 학사제도, 국제교류, 장학제도, 기숙사, 동아리소개, 홍보동영상, 웹진, 학과소개 | |
| 입시도우미 | 캠퍼스투어 신청, 입시자료신청, 캠퍼스맵, 찾아오시는 길 | |
| 한동대 | 입학안내 | 왜 한동대인가, 입시주요사항, 입학설명회, 대학홍보영상, 학과안내, 생활관안내, 장학금안내, 등록금안내, 취업안내, 오시는길 |
| 수시 | 수시1차, 수시2차, 수시자료실, 수시FAQ | |
| 정시 | 일반학생, 산업교육학부, 정시자료실, 정시FAQ | |
| 편입학 | 일반학사, 산업교육학부, 편입학자료실, 편입학FAQ | |
| 재외국민과 외국인 | 신입학, 편입학, 재외국민 자료실, 재외국민 FAQ | |
| 입학안내 | 공지사항, 입학상담실, 자료실, 입시통계자료, 입시홍보자료요청 | |
| 한림대 | 신입학 | 2010학년도 전형계획, 입학사정관 전형, 수시, 정시 |
| 편입학 | 일반편입학, 학사편입학, 간호학사특별과정, 연계편입학 | |
| 재입학/시간제 | 재입학, 시간제등록 | |
| Foreigner | Korean, English, Chinese, Online-application | |
| 입학정보 | 입학성적, 면접, 예시문항, 입학정보지, 서식다운로드 | |
| 학교정보 | Hallym Honors, Pre-Law/Pre-Med, 학과가이드, 교직과정, 장학제도, 기숙사, 통학안내 | |
| 입학도우미 | 공지사항, FAQ, Q&A, 진로지도, 학교정보신청 | |
| 홍익대 | 없음 | |
| 강남대 | 학교안내 | 학과학부안내, 장학금안내, 캠퍼스안내, 찾아오시는길 |
| 수시 | 모집요강, 입시결과, 입시자료실, 수시Q&A | |
| 정시 | 모집요강, 입시결과, 입시자료실, 정시Q&A | |
| 편입학/시간제 | 모집요강, 입시결과, 입시자료실, Q&A | |
| 재외국민 | 모집요강, 입시결과, 입시자료실, 재외국민Q&A | |
| 외국인 | 모집요강, 입시자료실, 외국인Q&A, English, 중국어 | |
| 입시도우미 | 공지사항, Q&A, 입시자료실, 입시캘린더, 입시결과, 입시설명회신청, 입시자료신청, 각종 조회 Service | |
| 강원대 | 수시모집 | 입시안내, 자료실, 모집요강, 지원현황, 입시정보, 기출문제, 서식 |
| 정시모집 | 입시안내, 자료실, 모집요강, 지원현황, 입시정보, 기출문제, 서식 | |
| 편입학 | 입시안내, 자료실, 모집요강, 지원현황, 입시정보, 기출문제, 서식 | |
| 시간제 | 입시안내, 자료실, 모집요강, 서식 | |
| 입시도우미 | 공지사항, 자주묻는질문, 입학상담, 입시캘린더, 등록금현황 | |
| 대학소개 | 학과학부안내, 대학생활안내, 장학정보, 기숙사, 주요전화번호, 찾아오시는길, 캠퍼스안내도 | |
| 광주과학대학 | 공지사항, 입학안내, FAQ, Q&A, 자료실, 입시자료신청, 입학설명회 안내,입시결과 | |
| 광주교육대학교 | 신입학안내 | 신입학주요계획, 모집요강, 결과, 질의응답 |
| 공지사항 | ||
| 잦은질문모음 | ||
| 참고자료 | ||
| 전자메일 | ||
| 단국대 | 수시모집 | 모집요강, 수시입시Q&A, 전년도 입시결과, 자료실 |
| 정시모집 | 모집요강, 정시입시Q&A, 전년도 입시결과, 자료실 | |
| 편입학 | 모집요강, 입시Q&A, 전년도 입시결과, 자료실 | |
| 재외국민과 외국인 | 모집요강, 입시Q&A, 전년도 입시결과, 자료실 | |
| 시간제 | 모집요강, 입시Q&A, 전년도 입시결과, 자료실 | |
| 입시도우미 | 공지사항, 입시캘린더, 입시자료실, 입시자료신청, 인터넷원서접수 | |
| 입학상담 | FAQ, Q&A | |
| 학교정보 | 장학금 안내, 등록금안내, 기숙사안내, 연락처안내, 찾아오시는길 | |
| 부경대 | 입학안내 | 대학입학, 대학입시캘린더, 공지사항 |
| 입시자료 | 면접안내, 실기안내, 입시통계, 부경인수기 | |
| 대학생활 | 학생생활관, 장학금안내, 누리사업안내, 취업안내, 해외연수안내, 학사안내, 등록금안내, 교직설치학과안내, 학과소개, 취업 및 진로, 오시는길 | |
| 입학홍보 | 입학홍보대사안내, 나래인 나래짓, 포토갤러리, 싸이월드 부경타운 | |
| 부경정보 | 입학설명회, 입학설명회신청, 입시자료신청, 홍보영상, E-부경저널, E-학과소개, 성적계산, 자주묻는질문, Q&A | |
| 성신여대 | 수시모집 | 공통사항, 일반학생전형, 특별전형, 논술문제유형, 수능성적 활용방법, 생활기록부 반영방법, 예체능실기고사, 전년도 수시전형통계, 장학제도 |
| 정시모집 | 공통사항, 수능시험 반영방법, 생활기록부 반영방법, 가군 일반학생전형,가군 농어촌전형, 가군 전문계전형, 나군 일반학생전형, 논술고사, 교직적성, 예체능계실기고사, 전년도 전형통계, 장학제도, 대학안내 | |
| 편입학 | 편입학안내 | |
| 재외국민 | 전형일정, 모집단위 및 모집 인원 | |
| 자료실 | 모집요강 및 다운로드, 지원자현황, 전형통계, 입시자료 | |
| 입학상담 | 공지사항, FAQ, 묻고답하기 | |
| 숭실대 | 수시모집 | 모집요강, 전년도 입시결과, 수시모집 자료실 |
| 정시모집 | 모집요강, 전년도 입시결과, 정시모집 자료실 | |
| 편입학 | 모집요강, 전년도 입시결과, 편입학 자료실 | |
| 재외국민과 외국인 | 모집요강, 전년도 입시결과, 재외국민과 외국인 자료실 | |
| 시간제 | 모집요강 | |
| International Students | Admission Guide , Resources | |
| 입시도우미 | 논술고사정보, 실기고사정보, 입시캘린더, 입시자료실, 입시설명회 | |
| 입학상담 | 입학FAQ , 입학Q&A, 공지사항 | |
| 진주교육대학교 | 신입학 | 공지사항, 모집요강, 입학자료실, 신입학도우미 |
| 대학원 | 공지사항, 모집요강, 입학자료실, 대학원도우미 | |
| 입학상담 | Hot Issue, Q&A, FAQ, 입시자료검색 | |
| 대학소개 | 장학제도, 생활관 캠퍼스안내, 찾아오시는길 |
| 대학교 | 캐치프레이즈 |
| 가톨릭대학교 | 아시아 국제화의 허브 카톨릭대학교가 뛰고 있습니다. |
| 건국대학교 | 내일을 여는 대학, 세계로 가는 대학 |
| 경북대학교 | |
| 경희대학교 | |
| 경희 입학사정 | 경희대학교 입학사정관은 여러분의 가능성, 열정, 꿈을 보겠습니다. |
| 서울대학교 | 겨레의 대학에서 세계의 대학으로 |
| 성균관대학교 | 고객만족도 3년 연속 1위 |
| 연세대학교 | the first & the best |
| 인하대학교 | Jump to the INHA |
| 인하 입학사정 | Think Innovation Think Harmony |
| 중앙대학교 | 우리는 더 큰세상이 된다. 세상의 중앙이 된다. |
| 한양대학교 | The Engine of Korea |
| 한양 입학사정 | 참된 인재를 향한 꿈 |
| KAIST | 세상의 별이 되다 |
| 건국대학교충주 | |
| 건양대학교 | The first step to your future |
| 경원대학교 | 나를 바꾸는 기분 좋은 선택 |
| 고려대학교 | Global KU Frontier Spirit |
| 공주대학교 | 지금 내가 서 있는 곳이 바로 세계입니다. |
| 동국대학교 | 세계 속의 당당한 리더를 꿈꾼다면, 동국대학교로 오라! |
| 동국 입학사정 | 동국대학교 입학사정관 전형 Dongguk Power |
| 목포대학교 | 세계로의 힘찬 비상, 그 꿈을 이루어주는 젊은 대학교 - 국립 목포대학교 |
| 배재대학교 | 더 넓은 세상과의 만남, 배제대학교 |
| 부산대학교 | fly up PNU |
| 서강대학교 | 그대 서강의 자랑이듯 서강 그대의 자랑이어라! |
| 서울시립대학교 | 개교 100년을 향한 꿈과 도전 |
| 서울여자대학교 | 여성리더를 육성하는 세계적인 수준의 교육중심 대학교 강해진 서울여자대학교가 키웁니다 자랑스런 그 이름 서울여자대학교 |
| 숙명여자대학교 | 생각하는 힘을 가진 창조적인 인재를 키웁니다 |
| 아주대학교 | 내일이 더 큰 사람 당신은 아주대입니다. |
| 아주 입학사정 | |
| 울산과학기술대학교 | 미래를 향한과학기술의 도전인류의 미래를 위한 과학기술의 진보 |
| 이화여자대학교 | |
| 전남대학교 | 당신의 젊은 꿈을 응원합니다. |
| 전남 입학사정 | |
| 전북대학교 | 한강이남 최고의 명문대학 |
| 전주대학교 | 수퍼스타는 탄생하는 것이 아니라 만들어 집니다! |
| 전주 입학사정 | |
| 조선대학교 | 꿈이 있다는 건 행복하다. 민족대학 조선대학교로 오세요 |
| 충남대학교 | 꿈이 있다면 도전할 수 있다. |
| 충북대학교 | |
| 포항공과대학교 | 지식과 지성을 겸비한 국제적 수준의 고급인재 양성 |
| 포항공대 입학사정 | |
| 한국외국어대학교 | Come to HUFS Meet the world |
| 외대 입학사정 | |
| 한동대학교 | Why not change the World? |
| 한림대학교 | 학생과 함께하는 대학 |
| 홍익대학교 | 꿈꾸는 세상 홍익대학교와 함께 |
| 홍익 입학사정 | 0 |
| 강남대학교 | 당찬 젊음 당찬 선택 |
| 강원대학교 | 내 꿈의 질주! My Way 국립강원대학교 |
| 광주과학기술원 | New Technology Global Frontier GIST |
| 광주교육대학교 | 0 |
| 단국대학교 | 새로운 비전, 새로운 도전 단국대 |
| 부경대학교 | 오늘은 부경, 내일은 세계 |
| 성신여자대학교 | 성신, 세상의 스폿라이트를 받는 무대! |
| 숭실대학교 | Global Brain 진리와 봉사를 세계로! |
| 숭실 입학사정 | 진리와 봉사를 세계로 숭실대학교의 글로벌정신입니다 |
| 진주교육대학교 | 초등교사양성의 장 진주교육대학교 |












